Leo Wang

Logo

About

Experiences

Skills

School

University of Toronto

Double Major in Computer Science & Physics
2024 – Present

cGPA: 3.98 / 4.00

CSC258 Computer Organization

Figure 1: Assembly Language Project "Columns"

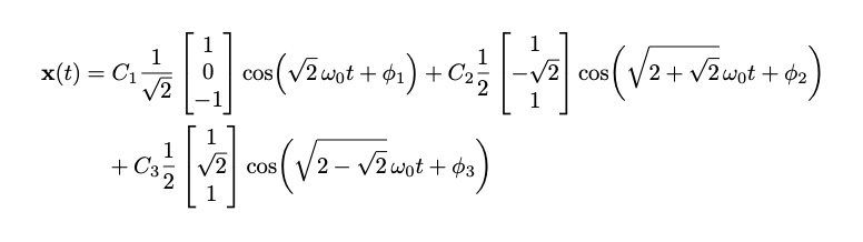
PHY254 Classical Mechanics

Studied the behaviour of classical mechanical oscillators in linear, damped, and coupled systems. Performed mathematical derivations in class and implemented Python models.
TrackerSchematic
TrackerSchematic
Figure 2: Solution to a 3 mass 4 spring coupled system

MAT235 Multivariable Calculus

PHY224 Practical Physics